摘 要:为更精确地评估 O3 污染造成的玉米产量和营养损失,本研究在山东省淄博市建立大田原位开顶式气室(OTC),进行不同O3 浓度暴露处理对我国北方广泛种植的玉米品种郑单958(ZD958)的产量和品质的影响研究。研究表明:在 O3 浓度升高40、80、120nL?L-1 时,玉米产量分别下降 11.0%.20.0%.48.2% ,产量对 O3 暴露的敏感性指数(相对产量与 O3 剂量的响应关系斜率绝对值)为 0.96% 。 O3 暴露后,玉米籽粒淀粉、蛋白质、脂肪的含量没有显著变化,K 和 Zn 的含量显著增加,但籽粒淀粉、蛋白质、脂肪以及Ca、 Mg 、P、Fe产量却显著下降。结果表明,在大田原位 O3 暴露下,ZD958玉米产量对 O3 剂量的敏感性高于大部分国内外的相关研究结果,表明目前的研究可能偏低地估计了我国 O3 污染造成的玉米产量损失; O3 暴露下,籽粒中营养物质含量保持相对稳定,甚至少部分矿质元素含量显著增加,但籽粒营养物质和大部分矿质元素的供给总量显著降低。
摘 要:为了探究大气 CO2 浓度和温度升高对粳稻和籼稻的高光谱特征及叶绿素含量的影响,本研究以粳稻“金香玉1号”和籼稻“扬稻6 号”为试验品种,通过开顶式气室(OTC)进行田间试验,设置四种处理:对照(环境 CO2 浓度和气温,CK)、 .CO2 浓度比CK 升高 200μmol?mol-1(C+) 、温度比CK 升高 2°C(T+)Ω,CO2 浓度和温度共同升高( (C+T+) ),测定各处理下水稻叶片的叶绿素相对含量(SPAD)和高光谱反射率,对原始光谱进行一阶导数变换,比较粳稻和籼稻的高光谱特征,并采用一元和多元方法构建叶绿素含量的最佳估算模型。结果表明: C+ 处理使SPAD值增加 2.8%~8.8% ,而 T+ 处理使其降低 4.4%~11.1% ,且 T+ 处理下粳稻“金香玉1号”的叶绿素含量下降更为明显。 CO2 浓度和温度处理虽未改变水稻冠层原始光谱曲线的波形,但显著影响了反射率。水稻一阶导数光谱反射率呈现“单峰”或“双峰”特征,各处理的粳稻在整个生长季中主峰位置均出现蓝移,而籼稻在 T+ 和 C+T+ 处理下呈现先红移后蓝移。粳稻的最优叶绿素反演模型为支持向量回归(SVR),其决定系数 R2 为0.63,均方根误差(RMSE)为2.94;籼稻的最优叶绿素反演模型为BP神经网络,其 R2 为 0.66,RMSE为 2.73 。综上,在 CO2 浓度和温度升高条件下,粳稻和籼稻的高光谱特征存在显著差异,且多元模型在叶绿素含量反演中表现出更优的估算效果。
摘 要:土壤Cd 污染不仅影响水稻的正常生长发育,而且导致Cd 在水稻籽粒中累积,从而给人体健康造成潜在危害。硫化氢′H2S′, )作为一种重要的信号分子在调控植物重金属胁迫中发挥重要作用。本文利用水培试验研究了具有内源 H2S 供体功能的大蒜提取物S-烯丙基-L-半胱氨酸(SAC)调控水稻Cd 胁迫的潜在机制。选用我国南方主栽水稻品种“中早35”作为试验材料喷施系列浓度SAC,结果表明:喷施 0.2mmol?L-1SAC 后水稻幼苗地上部和根部 H2S 含量随时间延长持续增加, 12h 后与对照(CK)处理相比分别显著增加 44.57% 和 83.22% 。采用荧光标记法对水稻幼苗叶片和根部的测定结果也表明 H2S 荧光强度与CK处理相比分别显著增加 254.55% 和 700.25% 。进一步对水稻幼苗地上部和根部 H2S 主要合成酶L-半胱氨酸脱硫酶(LCD)活性进行测定,结果表明,喷施 0.2mmol?L-1SAC 后地上部和根部LCD 活性与CK 处理相比分别显著增加 94.17% 和 41.05% 。喷施 0.2mmol?L-1SAC 后对水稻抗氧化酶系统的测定结果表明,水稻幼苗地上部超氧化物歧化酶(SOD)、过氧化物酶(POD)、过氧化氢酶(CAT)活性与CK处理相比分别显著增加 32.36%.26.69%.24.87% ,根部分别显著增加 38.61%.11.99%.62.93% 。地上部和根部丙二醛(MDA)含量与CK 处理相比分别显著降低 37.37% 和 28.54% 。对水稻幼苗Cd 含量的测定结果表明,当SAC 喷施浓度达到 0.2mmol?L-1 时地上部和根部Cd 含量与CK 处理相比分别显著降低 18.07% 和 46.05% 。研究表明,喷施SAC 诱导了幼苗LCD 活性,促进了水稻合成H2S 信号分子,调控了水稻Cd胁迫和转运。
摘 要:为了探讨根际环境酸碱度对水稻镉吸收转运效率的影响,以水稻幼苗为材料,在 pH4.5~8.0 的含 0.3mg?L-1 镉的营养液中,对水稻镉转运特性和必需元素含量的变化进行分析。结果表明: pH 对水稻根系生长发育以及镉和必需元素的富集能力有显著影响。当根际环境pH为5.5时,水稻根尖数和根系镉富集系数达到最大值。在 pH6.0~8.0 的含镉营养液中,随着pH的升高,水稻幼苗根系和茎叶中的镉含量呈急剧下降趋势,根系原生质体镉含量的下降幅度显著大于细胞壁。适合根系吸收锰、钾、铁的最佳pH分别为5.5、6.0和6.5,吸收镁和钙的最佳pH为7.0,吸收锌的最佳 pH 为 5.5~6.5 。当营养液的pH值为5.0\~5.5时,根系和茎叶中大量/微量元素离子通道对镉的容错率先后达到高峰。在 pH>5.5 的环境中,离子通道对镉的容错率随着pH 的升高而急剧下降。茎叶中大量元素离子通道对镉的容错率显著小于根系。研究表明,在 pH5.5~7.0 的环境中,提升pH 能显著提高水稻细胞膜上离子通道对镉的识别和拦截能力,保障必需元素的优先转运,通过降低离子通道对镉的容错率来抑制对镉的吸收转运。
摘 要:为筛选出适用镉(Cd)、铅(Pb)中轻度污染农田栽植的水稻高产低积累品种并评价稻米摄入对人体健康风险的影响,以研究区域主栽的20 个品种水稻(R01\~R20)为研究对象,开展田间小区试验,分析不同品种水稻对重金属的吸收累积差异。结果表明:20个品种水稻地上各部位Cd含量由大到小依次为茎叶 > 稻米 > 稻壳,Pb含量大小依次为茎叶 > 稻壳 > 稻米。其中,13个品种稻米Cd含量、19个品种稻米Pb含量符合国家安全标准值( (0.2mg?kg-1 )。各品种间的Cd、Pb转移系数 (TF) 和富集系数(BCF)差异显著,Cd 在水稻地上各部位之间的转移系数大小为 TF?u+-27F?u+-17F?u+ ,而 Pb 则相反。Cd 的 TF☉*? 最大值是最小值的5.34 倍,而Pb 是 21.77 倍;Cd 的 TF* 最大值是最小值的4.27 倍,而 Pb 是9.67 倍。Cd 的富集系数最大值是最小值的39.0 倍,而Pb 是119倍。此外,与Pb 相比,水稻表现出优异的Cd 转移和积累能力。稻米 Cd,Pb 含量和水稻产量聚类分析结果显示,百香优005(R02)为高产低Cd 低Pb 积累品种。单因子污染指数 (Pi) 和总目标危险系数(TTHQ)分析显示,研究区稻米重金属污染的主要贡献因子和食用当地稻米产生的健康风险都源于Cd,且百香优005最符合品种筛选和培育的要求。
摘 要:为研究钝化剂和叶面阻控剂对镉(Cd)污染土壤安全利用效果,实现小麦安全生产,通过大田试验,设置施加生石灰 2 100kg?hm<sup>-2</sup>(C) 、钙镁磷肥 600kg?hm<sup>-2</sup> (P)、有机肥 3450kg?hm<sup>-2</sup>(OF )、生物炭 2 100kg?hm&l
摘 要:为探究玉米籽粒镉(Cd)累积的关键影响因子及其影响途径,本研究以浙江省衢州市Cd污染区种植的鲜食玉米及对应土壤为研究对象,结合随机森林(RF)模型对土壤影响因素( Δ?pH 、有效态Cd、全量Cd)和植株影响因素(各部位Cd含量以及对Cd的转运情况、品种)展开分析。结果表明,土壤pH 与籽粒Cd 含量呈负相关,其他变量与籽粒Cd 含量呈正相关。RF 模型的解释方差(VECV)可以解释玉米籽粒Cd 含量变化的 75.65% 。各影响因子对玉米籽粒Cd 累积的重要性中,植株因子表现为 TF**Ψ**Ψ**> 品种>茎 Cd> 根 Cd>BCF> 苞叶Cd,土壤因子表现为土壤 pH> 土壤有效态 Cd> 土壤全量Cd。路径分析表明,土壤pH和土壤全量Cd通过直接影响土壤有效态Cd含量,从而间接影响玉米对Cd的吸收以及Cd在植株地上部的迁移、转运,最终影响玉米籽粒中的Cd累积。茎Cd、叶Cd和芯Cd 3个变量共同解释了玉米籽粒Cd含量的 47% ,模型的预测能力为 45.57% (拟合优度为0.455 7)。研究表明,土壤pH、玉米对Cd的转运能力和品种是影响玉米籽粒Cd累积的最关键因子。
摘 要:为探究微塑料与镉(Cd)单一及复合作用对蔬菜种子萌发和幼苗生长的影响,以日常典型蔬菜小白菜(Brassica chinensis L.)、萝卜(Raphanus sativus L.)和生菜(Lactuca sativa L.)为研究对象,研究不同浓度( Ω1000mg?L-1 和 2000mg?L-1, )聚乙烯(PE)、聚氯乙烯(PVC)微塑料与重金属 Cd(2mg?L-1, )对3种蔬菜发芽指标、形态指标和生长指标的影响。结果表明:微塑料和Cd单一及复合污染对3 种蔬菜发芽没有显著影响,但不同处理均不同程度降低了蔬菜的根长、芽长和鲜质量。PVC 与Cd 复合处理对蔬菜幼苗的毒性大于PE与Cd复合处理,蔬菜对微塑料和Cd复合处理的敏感顺序为生菜 > 萝 小白菜。此外,PE微塑料抑制了生菜幼苗对Cd的吸收,且抑制作用大于PVC微塑料。研究表明,微塑料与Cd单一及复合污染的毒性作用与微塑料类型和蔬菜种类有关。
摘 要:为了探讨氨基酸对小白菜镉(Cd)积累能力的影响及其与抗氧化系统的关系,本实验采用盆栽方式对Cd中轻度污染条件下小白菜叶面喷施L-半胱氨酸溶液,测定小白菜Cd 富集量及抗氧化系统等指标。结果表明,喷施L-半胱氨酸后小白菜地上部Cd 含量呈下降趋势 (P<0.05) )。当喷施浓度为 20,30mmol?L-1 时Cd 从根部到地上部分的转运显著降低( (P<0.05) )。喷施时间对小白菜Cd含量影响显著( (P<0.05) ),在三叶一心期(TCM)喷施浓度为 30mmol?L-1 的L-半胱氨酸,小白菜地上部Cd含量降幅最大,达63.67% ,且转运系数最小。此外,随着叶面喷施L-半胱氨酸浓度的增加,叶绿素含量增加;喷施L-半胱氨酸溶液后过氧化物酶(POD)活性提升,而超氧化物歧化酶(SOD)活性下降( (P<0.05) );当喷施浓度为 30mmol?L-1 时,小白菜中丙二醛(MDA)和谷胱甘肽(GSH)含量最大。研究表明,喷施L-半胱氨酸增加了小白菜的叶绿素含量、抗氧化系统活性,提高了小白菜对Cd的拦截能力,减少了Cd从地下部向地上部的转运,缓解了Cd对小白菜的胁迫。
摘 要:为探究吡噻菌胺对映体在水培黄瓜植株中的选择性行为,本文基于构建的水培黄瓜种植体系,研究吡噻菌胺对映体在黄瓜根、茎、叶及营养液中的吸收、传导、降解及分布。结果表明:处理组营养液(培育黄瓜植株含药营养液)中目标农药降解符合一级动力学方程,且快于对照组(含药营养液),对映体分数在0.49\~0.51之间,不具显著选择性。黄瓜植株可快速吸收营养液中的吡噻菌胺对映体,根部富集因子均大于 1L?kg-1 ,最大可达 13.12L?kg-1 ,转运因子在0.014\~0.158之间,表明其具有较强的根部富集能力和较弱的向上转移能力。对映体在黄瓜根、茎、叶中的对映体分数值在0.50\~0.59之间,表明其在黄瓜植株中的吸收与传导具有显著的选择性。研究表明,吡噻菌胺对映体在营养液中不具选择性,在黄瓜植株中具有显著选择性,且易在根部富集,不易向上传导。
摘 要:为定量化设施果类蔬菜养分投入,实现设施果蔬优质高产、绿色高效生产,本研究以山东省典型设施果类蔬菜为研究对象,基于通过农户调研与土壤样品采集测定收集的数据,结合对现有文献的综述,使用生命周期评价方法,系统分析研究区域设施果类蔬菜生产的施肥现状、土壤养分状况和环境代价及其相关关系。结果表明:山东省主栽设施果类蔬菜养分投入量高,设施番茄、黄瓜、辣椒、茄子的氮(以N 计)、磷(以 P2O5 计)、钾(以 K2O 计)投入量平均达到 743,600,740kg?hm-2 ,施肥变异系数较大CV=30.3%~43.9% ),大量的肥料投入造成了较高的养分盈余,进而导致表层土壤( 0~30cm, )养分含量显著升高,同时导致了较高的环境代价。设施果类蔬菜的单位面积上活性氮损失、温室气体排放、富营养化效应和酸化效应均以黄瓜生产系统最高,分别达225kg?hm-2?10058kgCO2e?hm-2?124kgPO4e?hm-2 和 63.4kgSO2e?hm-2 ,其次是茄子、番茄和辣椒。氮素盈余是导致活性氮损失的最主要因素,氮、磷、钾肥料的生产过程和施用过程是设施果类蔬菜温室气体排放、富营养化效应和酸化效应的主要贡献因子,贡献率高达 80% 以上。因此,为保证设施果类蔬菜产业绿色优质高质量发展,应通过优化设施蔬菜养分资源综合管理策略来减少养分盈余、降低环境代价。
摘 要:为解决西南地区集约化蔬菜生产肥料投入量高、养分配比不平衡导致的养分损失量高、肥料利用率低、环境代价大等问题,实现区域蔬菜绿色可持续发展,本研究以西南地区露地甘蓝为研究对象,采用田间试验,设置不施肥(CK)、农户习惯(FP)、优化养分的作物专用肥(OPT1)处理、缓控释配方肥处理(OPT2)和添加硝化抑制剂稳定性配方肥处理(OPT3)5 种不同肥料管理策略,结合生命周期评价方法,揭示不同新型肥料对露地甘蓝在农学效应、肥效效应与环境效应方面的综合影响。结果表明:与FP相比,OPT1、OPT2、OPT3 在平均减少氮、磷、钾肥用量 36.9% 、 65.2% 和 62.1% 的条件下,能够实现甘蓝总产量增加 2.51%~7.53% ,氮肥利用率提高 168.7%~228.6% ,收获期氮累积量提高 15.4%~35.3% ;单位面积活性氮损失降低 66.7%~85.9% ,温室气体排放显著降低 26.3%~27.2% ;同时提高净经济效益 13.0%~18.4% ,生态系统净经济效益 14.5%~31.7% 。与其他优化处理相比,稳定性配方肥处理总产量较作物专用肥提高 3.1% ,较缓控释配方肥提高 4.6% ;收获期氮累积量较作物专用肥提高 13.5% ,较缓控释配方肥提高 17.3% ;单位面积上的活性氮损失较作物专用肥降低 28.9% ,较缓控释配方肥降低 57.9% ;生态系统净经济效益较作物专用肥增加 15.0% ,较缓控释配方肥增加 9.5% 。研究表明,优化施肥配施硝化抑制剂效果最优。
摘 要:为了研究高砷地下水灌溉后As 在盐渍化农田土壤中的迁移特征,明确As 在农田土壤中水平和垂直方向的迁移距离,揭示As在农田土壤中的迁移过程,正确进行土壤As污染控制,本试验以新疆奎屯126团的棉田为研究对象,针对当地强蒸发环境背景和盐渍化土壤特点,通过大田试验,结合土壤溶液取样器和阳离子交换膜的采样分析,探究不同灌水周期下As在中度和重度盐渍化土壤中的水平和垂直方向的迁移特征。结果表明:高砷地下水灌溉后, 8h 内 (0,20]cm 各土层土壤溶液中As 浓度均呈现出逐渐下降的趋势,地下水中的As进入土壤后会逐渐被土壤颗粒所吸附,致使土壤溶液中的As逐渐减少。(0,10] cm 土层土壤溶液As 浓度显著高于(10,20] cm 土层土壤。随着灌溉次数增加,土壤溶液中As 的浓度上升。重度盐渍化土壤的土壤溶液中As 的浓度高于中度盐渍化土壤溶液。As 在中度盐渍化土壤中水平距离上主要迁移到 3.8cm 位置,垂直方向主要迁移到 4.0cm 位置;而在重度盐渍化土壤中,As在水平和垂直方向上迁移到 6.0cm 和 8.0cm 位置。灌溉5周后,地下水中的As在土壤中累积,中度盐渍化土壤中的As 浓度在(0,5] cm 土层的增长率最高,重度盐渍化土壤中的As 浓度在(5,10] cm 土层的增长率最高。土壤中的盐分会促进As在垂直和水平距离上的迁移,盐渍化农田土壤更要关注高砷地下水灌溉后的环境风险。
摘 要:为了明确镉(Cd)修复微生物菌剂的构建原理及其作用效果,选取从超积累植物东南景天根内分离得到的5 种植物促生菌,通过菌株共培养试验确定了作用效果最好的混合菌株组合,与富集植物油菜构建植物-微生物修复技术体系,在此基础上测定了油菜生物量、根系发育、Cd 吸收积累、过氧化氢含量、谷胱甘肽含量以及抗氧化酶活性等。结果表明:芽孢杆菌Bacillus sp.Bac1和伯克霍尔德菌Burkholderia sp. Bac2的共培养生长状况最好,更适用于作为Cd修复菌剂。此外,接种不同浓度配比的Cd修复菌剂的作用效果有所不同。当Bac1和Bac2菌剂浓度配比为3∶1时更有利于油菜生长发育及对Cd的提取修复,而Bac1和Bac2菌剂浓度配比为1∶1时油菜植物抗氧化酶活性、谷胱甘肽含量等抗氧化系统指标对Cd胁迫的响应更为强烈。
摘 要:为研究解淀粉芽孢杆菌(Bacillus amyloliquefaciens)A-3 对还原型 Mn2+ 胁迫的代谢响应,以A-3无菌发酵液为研究对象,通过添加 Mn2+ ,利用非靶向代谢组学技术对A-3全部小分子代谢物进行鉴定,根据变量权重重要性排序( ΔVIP>1 ),结合T检验来筛选差异性表达代谢物,通过KEGG 数据库对A-3代谢通路进行拓扑分析。结果表明: Mn2+ 胁迫对A-3发酵液中代谢物变化有显著影响;共鉴定到332 个差异代谢物,阳离子模式检测到175 个,阴离子模式检测到157 个。其中上调代谢物114 个,如3-甲基吲哚丙酮酸酯、精胺、腺苷等;下调218 个,如5-羟基赖氨酸、柠檬酸、均质酸等小分子有机酸。通过KEGG 富集和代谢通路拓扑分析,找到 P<0.05 的代谢通路22条,其中对丙氨酸、天冬氨酸和谷氨酸代谢途径影响最显著。研究表明, Mn2+ 的添加改变了A-3的细胞代谢水平,使精胺表达量上调, Mn2+ 参与谷胱甘肽代谢以及泛酸盐和CoA 生物合成等重要的代谢及生物合成途径;A-3 主要通过调节氨基酸、核苷以及小分子有机酸类化合物的表达量来应对 Mn2+ 胁迫。
摘 要:为了探究土壤容重(BD)和有机质(SOM)含量变化对土壤中 Cr(M) 还原转化的影响,通过室内实验模拟 cr(M) 在不同BD和SOM 含量下的转化特征,从动态角度探讨BD和SOM 含量变化对土壤 Cr(M) 还原转化的影响。结果表明:BD和SOM 含量变化会显著影响 cr(M) 的还原转化( (P<0.05) 。与BD 为 1.00g?cm-3 时相比,随着BD 从 1.15g?cm-3 增大到 1.45g?cm-3 , cr(M) 还原转化量增加了 8.09%~129.27% ;与SOM 含量为 1.13g?kg-1 时相比,随着SOM 含量从 5.25g?kg-1 升高到 10.75g?kg-1 , Cr(M) 还原转化量增加了 21.69%~98.15% 。在BD 为 1.45g?cm-3 、SOM 含量为 5.25g?kg-1 时,土壤中 Cr(M) 还原转化量最大,转化率达 42.6% 。在低SOM 含量( (1.13g?kg-1, )下,提高BD 和SOM 含量,可以显著增加土壤 cr(M) 的还原转化量;在高SOM 含量 (5.25g?kg-1) 下,提高BD可以显著增加土壤 Cr(M) 的还原转化量,但提高SOM 含量对土壤 cr(M) 还原转化量的影响却存在不确定性。研究表明,对于低SOM 土壤,可以通过提高BD 和SOM 含量来促进土壤中 Cr(M) 的还原转化,而对于高SOM 土壤,适当增加BD 有利于提高土壤中cr(M) 的还原转化。
摘 要:为构建地区土壤环境质量监测网络,提升土壤质量监管能力,突破农业健康发展的瓶颈约束,把控农田污染影响,推动农业绿色可持续发展,本研究于2018—2022 年对北京市昌平区64 个采样点采集土壤表层样本320 份,监测土壤中8 种重金属元素(Cd,Hg,As,Pb,Cr,Cu,Ni,Zn) 含量。采用单因子指数 (Pi) 法、内梅罗综合指数 (P) 法以及潜在生态风险指数(RI)法对区域内土壤环境质量进行评价,并结合UNMIX溯源模型解析研究区土壤重金属来源。结果显示:研究区重金属潜在生态风险低,但个别重金属存在富集现象, Hg,Cr,Zn 的平均含量达到地区背景值的2.4、1.9、1.7 倍;研究区重金属来源主要有工业源、母质源、农业源以及交通源,各部分整体占比分别为 40%,39%,10% 和 11% ; Cd 与 Cu,Zn 这3 类重金属元素在来源、迁移途径中可能存在协同作用。研究表明,不合理的农业活动和大流量的交通运输活动影响了研究区重金属富集特征。
摘 要:为探究不同覆膜年限农田中微塑料的污染水平及微生物群落的变化,本研究采集覆膜年限为5、15 a以及从未覆膜的农田土壤,采用热裂解气相色谱质谱联用仪( Py-GCMS) )定量微塑料含量并采用高通量测序手段,探讨不同覆膜年限对土壤微塑料含量的影响,以及残膜生态位微生物和土壤微生物群落的变化。结果表明:随着覆膜年限的增加,土壤中微塑料的含量呈上升趋势。5 a覆膜(A 地)土壤中微塑料含量为 0.47g?kg-1 ,而15 a覆膜(B 地)土壤中微塑料含量为 2.66g?kg-1 ;此外,覆膜时间对土壤微生物群落丰度、多样性和种类组成产生了显著影响。5 a 覆膜(A 地)土壤中的细菌丰富度和多样性均高于膜上细菌,而15 a 覆膜(B地)土壤中的细菌丰富度虽然低于膜上细菌,但多样性却高于膜上细菌。5 a覆膜(A地)土壤中的真菌丰富度高于膜上真菌,但土壤中的真菌多样性低于膜上真菌,而 15a 覆膜(B地)土壤中的真菌丰富度和多样性均高于膜上真菌。尽管地理位置、作物种植种类以及农业生产方式不同,但两地残膜表面均富集了具有降解塑料能力的菌株,包括假单胞细菌属、类诺卡氏菌属等,证明塑料残膜的存在促进了土壤中特异细菌的生长。研究表明,随着覆膜年限增加土壤微塑料污染水平加剧,同时微塑料会导致周围环境的微生物群落发生改变。
摘 要:为综合评估土壤微塑料(MPs)对我国农用地土壤质量的影响程度,本研究筛选出58篇关于我国农用土壤中MPs分布特征影响土壤性质(物理、化学和酶活性)的762组数据,并进行了Meta整合分析。结果表明:我国不同地区农用地土壤中的MPs丰度值和粒径水平存在差异;MPs丰度值大小呈现大棚 > 果园 > 农田 > 菜地,但表层和深层土壤中MPs的丰度值差异不明显。较高含量(>5% )MPs污染时,土壤pH显著下降,而溶解性有机质(DOC)和无机磷(IP)含量则显著升高( (P<0.05) );较小粒径( (?0.5mm) )的MPs污染土壤中IP 含量和过氧化氢酶(CAT)、脲酶( Ure) )活性均显著升高( ?P<0.05. )。MPs 污染实验在 :?30d 时,土壤的IP 含量和CAT、Ure 酶活性均显著升高( P<0.05) );实验时间 >60d 的土壤中硝态氮( (NO3--N) )含量显著下降( P<0.001 ),CAT 酶活性显著上升( ?P< 0.001)。Pearson 分析发现MPs 的含量和粒径显著影响了土壤化学性质如DOC、IP 和 NO3--N 含量( (P<0.05) ),且粒径与土壤CAT 和Ure 酶活性之间存在显著相关性 (r>0.30,P<0.05) )。由此可见,我国农用地土壤MPs的污染现状较为严重,MPs能够通过直接或间接的途径影响土壤质量和养分元素有效性。
摘 要:为探讨秸秆还田和化肥施用下的两种溶解性有机质(DOM)在含铁黏土矿物结构态Fe(Ⅱ)氧化过程中的转化机制,本文以富铁的还原态绿脱石( )为黏土矿代表,分别从长期施化肥(CF)和秸秆还田(HOF)的稻田土壤中提取DOM( DOMCF 和 ),研究了 DOMCF 和 ΔDOMHOF 分别对 有氧氧化产生·OH 的影响,以及 DOMCF 和 ΔDOMHOF 在该过程中的转化差异。研究表明:在
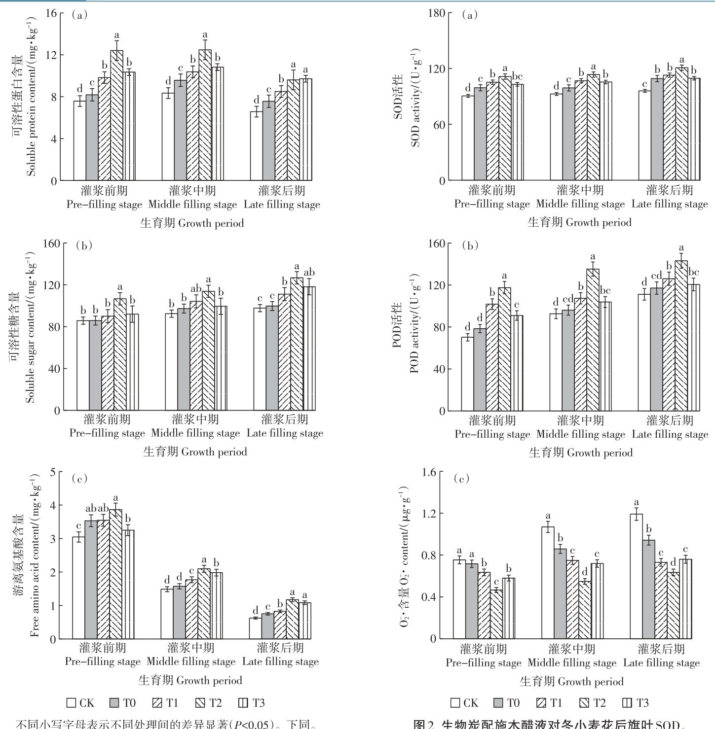
摘 要:为探究生物炭配施木醋液对河北低平原区盐碱土壤的改良效果及对冬小麦生理特征的影响,本研究设置未施生物炭(CK)、生物炭 15t?hm-2(T0) 、生物炭 15t?hm-2+225kg?hm-2 木醋液(T1)、生物炭 15t?hm-2+450kg?hm-2 木醋液(T2)和生物炭 15t ·hm-2+675kg?hm-2 木醋液(T3)处理,分析了生物炭配施木醋液对盐碱土壤速效养分、 ?pH 、电导率(EC)和冬小麦植株碳氮代谢及抗氧化能力的影响。结果表明:各处理中,T2均显著提高冬小麦花后旗叶各灌浆时期的超氧化物歧化酶(SOD)和过氧化物酶(POD)活性,显著降低超氧阴离子自由基积累量,并显著提高灌浆前期的可溶性蛋白和可溶性糖含量及灌浆中期的游离氨基酸含量。T2 较CK 和T0 处理氮总累积量提高 6.4% 和 4.6% ,磷总累积量提高 16.1% 和 12.3% ,钾总累积量提高 4.7% 和 3.2% ,且均呈显著性差异。T2 较CK 和T0 处理均显著提高土壤硝态氮、有效磷和速效钾含量,仅在 0~20cm 土层中显著降低土壤EC 值,土壤 pH 值和有机质各处理间无显著差异。T2较CK 和T0处理产量显著提高 10.8% 和 7.9% 。由拟合曲线得出生物炭配施 433.75kg?hm-2 木醋液时产量最佳,该结果与T2增施量相近。研究表明,在提升河北低平原内陆轻度盐碱土壤生产能力时,建议生产实践中在增施生物炭 15t?hm-2 的基础上配施木醋液量为 433.75~450kg?hm-2 。
摘 要:针对灌区农田灌排与不同类型沟渠水质响应机理、各级沟渠水体氮素迁移以及不同类型农田浅层地下水与地表水响应机制不明晰的问题,本研究以宁夏引黄灌区青铜峡灌区中的典型水田和旱地为例,采用实地监测法,结合农业管理措施调研,分析不同类型农田与不同层级沟渠氮素浓度的响应关系,明确灌区不同类型农田氮素时空变化特征和影响因素。结果表明:在时间尺度上,水田和旱地不同层级沟渠总氮与施肥和灌溉时间响应较为明显,一般在施肥后的7\~9 d 总氮浓度可达到高峰;在空间尺度上,不同层级沟渠总氮浓度表现为田面水 .> 旱地农沟>斗沟 > 水田农沟>挡浸沟,水田农沟、旱地农沟以及斗沟的不同断面氮素浓度均呈现上游 中游 下游的特点。随着地下水埋深的增加,总氮浓度降低,并表现为上游 > 中游 > 下游;浅层地下水总氮浓度与地表水总氮浓度的响应关系表现为滞后 2~5d 。农田氮素输移与不同层级沟渠呈正相关性,浅层地下水、灌溉水、田面水、农沟、挡浸沟和斗沟之间存在明显的响应关系。通过合理控制水肥投入、控制地下水水位、减少农业源氮素输出,同时在不影响农田排水的情况下,将沟渠水保存有利于发挥排水沟的湿地生态效应,从而削减氮素浓度,使养分最大限度在农田系统内循环,可有效控制因农田退水引起的氮素面源污染。
摘 要:为明确洱海流域稻鸭共生下不同有机肥(牛粪、鸡粪)等氮替代化肥对田面水氮磷浓度变化和水稻产量的影响,本研究设置等氮量 180kg?hm-2 投入,以云粳37水稻为试验对象进行随机区组田间试验,共设置4个处理:CK,不施肥、不养鸭; C+D ,牛粪替代化肥 + 稻鸭共生处理; P+D ,鸡粪替代化肥 + 稻鸭共生处理; F+D ,单施化肥 + 稻鸭共生处理。研究在等氮条件下,施用不同有机肥对田面水氮磷浓度和水稻产量的影响。结果表明:与 F+D 处理相比, C+D 处理存在减产风险 (-18% ); P+D 处理显著增产且产量可持续性较高,对水稻产量各构成要素有促进作用。各处理之间的氮肥农学利用率、氮肥生理利用率、氮肥偏生产力、氮肥吸收利用率和氮肥贡献率均有显著差异( (P<0.05) ,除 C+D 处理的氮肥生理利用率为最高外,其余的氮肥利用效率均为 P+D 处理最高。氮、磷、钾在籽粒和秸秆中的累积量均存在差异。与 F+D 处理相比,有机肥替代化肥 + 稻鸭共生处理在水稻收获期能提高 0~30cm 土层 1.13%~3.16% 土壤全氮(TN)、 .8.81%~29.92% 有机质(OM)、 18.02% 有效磷(AP)含量,生育期内土壤 NH4+-N 、有效磷和速效钾含量在稻作后期增加。有机肥替代化肥 + 稻鸭共生的田面水总氮(TN)和可溶性总氮(TDN)含量施基肥后升高,随即降低稳定在低水平,整个生育期田面水磷素养分(TP、TDP)均显著高于 F+D 处理。研究表明,在稻鸭共生下,有机肥替代化肥能够有效提高水稻产量和肥料利用率,并且鸡粪替代化肥可作为一项较优的增产提效生态农业措施,但需进一步评估磷素流失风险。
摘 要:为探究不同化学合成方法制备的施氏矿物(Schwertmannite,SCH)对Sb(Ⅲ)的吸附性能差异,本实验制备了两种SCH( H2O2 法制备的H-SCH 和 KMnO4 法制备的M-SCH),以两种SCH 对Sb(Ⅲ)的吸附性能研究为主线,开展吸附动力学及热力学研究,并结合铁还原菌(Iron-reducing bacteria,FeRB)、硫酸盐还原菌(Sulfate-reducing bacteria,SRB)以及共存 As、Cr、溶解性有机质(Dissolved organic matter,DOM)对SCH 吸附Sb(Ⅲ)的影响研究,揭示了不同化学法合成的SCH 对Sb(Ⅲ)吸附的差异性机制。结果表明, KMnO4 法主要是通过增加比表面积和孔隙度的方式增强了SCH对Sb(Ⅲ)的物理吸附能力。本实验认为物理吸附和化学吸附均在H-SCH 和M-SCH 吸附Sb(Ⅲ)的过程中发挥着重要作用,在两种SCH 吸附Sb(Ⅲ)的过程中,部分Sb(Ⅲ)会在SCH 表面被Fe(Ⅲ)氧化为Sb(Ⅴ),SCH 主要通过表面 OH 络合的方式吸附Sb(Ⅲ),通过表面 OH 络合及 SO42- 离子交换的方式吸附Sb(Ⅴ)。富里酸(Fulvic acid,FA)、FeRB 和SRB 的存在均会抑制两种SCH 对Sb(Ⅲ)的吸附,FA 和FeRB 还原产生的Fe(Ⅱ)以及SRB 还原产生的 S2- 均会抑制Sb(Ⅲ)在SCH 表面的氧化,从而使得两种SCH 对Sb(Ⅲ)的吸附能力下降。共存As(Ⅲ)和Cr(Ⅵ)会抑制两种SCH 对Sb(Ⅲ)的吸附,As(Ⅲ)和 Cr(M) )会与Sb(Ⅲ)竞争SCH 中的吸附位点。但随着 Cr(M) 浓度升高,更多的Sb(Ⅲ)被Cr(Ⅵ)氧化成Sb(Ⅴ),相较于Sb(Ⅲ),Sb(Ⅴ)更易被SCH吸附,从而使得 Cr(M) 对SCH吸附Sb(Ⅲ)的抑制作用不升反降。
摘 要:本研究利用甘蔗渣通过离子液体1-烯丙基-3-甲基咪唑氯([Amim]Cl)处理,成功制备了球形木质纤维素颗粒(LCB)。进而,在吡啶反应体系中,对LCB 进行了季铵化改性,得到了球形木质纤维素基阴离子交换剂(LCB-AE),利用制备的LCB-AE 吸附去除水中 cr(M) ,并探讨其吸附性能和去除机理。结果表明: pH 对LCB-AE吸附水中 的影响最大,在酸性条件下吸附效果最佳;吸附等温线符合Langmuir 模型,在常温、中性条件下吸附量约为 40mg?g-1 ;吸附过程符合准二级吸附动力学模型,LCB-AE对Cr(Ⅵ)的吸附为吸热反应,即温度升高促进吸附;通过XPS 对材料进行表征,发现去除机理主要为离子交换,同时存在部分cr(M) 还原转化;共存阴离子( PO43- 、NO-3和 SO42- )竞争吸附、吸附-再生及柱实验表明LCB-AE有较好的选择吸附性能,并能在多次循环中保持稳定,且能够快速吸附水体中的 。研究表明,木制纤维素通过季铵化改性之后,对Cr(Ⅵ)具有良好的吸附效果。
摘 要:为探讨生物炭对水体中微塑料的去除效果,降低其带来的潜在环境风险,本研究对废弃生物质玉米秸秆(CB)进行单金属(Fe)和双金属(Fe/Ni)改性,制备两种磁性生物炭(MCB 和MCB-Ni)来吸附水体中典型聚苯乙烯微塑料( (PS-MPs) ),并进行材料表征分析、吸附性能研究和吸附机理探讨。表征结果显示金属改性后的生物炭比表面积增大 ,有磁化特性生成(饱和磁化强度 );试验证实MCB 和MCB-Ni 对PS-MPs 均有吸附能力,其中MCB-Ni 的吸附性能更好,对MPs的最大吸附量为 8 974.40mg?g-1 ,是MCB最大吸附量的3.43倍;酸性条件更有利于MCB和MCB-Ni对MPs的吸附;水中Na+ 及其他离子 (K+?Ca2+?Mg2+?Al3+?Cl-?NO3- 和 SO42- )的存在对MCB和MCB-Ni吸附PS-MPs的抑制作用影响小;吸附-解吸试验结果表明,吸附PS-MPs 后的磁性生物炭可以通过热处理( 500°C )回收,5 次使用后仍具有强的吸附能力( 80% 以上);吸附机理分析结果揭示MCB和MCB-Ni吸附MPs在高温下可以自发进行,主要吸附机制包括孔隙填充、静电吸引、表面络合以及 π-π 相互作用。
摘 要:为探究不同分子量的沼液组分还田对土壤镉活性的影响,将猪场沼液过滤、超滤浓缩,设置对照(CK)、原始沼液(T1)、沼液颗粒有机质(T2)、沼液溶解性有机质(T3)、 Ω,30kDa 沼液(T4)、 .10~30kDa 沼液(T5)、 沼液(T6)、 .<1kDa 沼液(T7)8个处理,静置培养 30d 。结果表明,处理组土壤有效态镉含量相较于CK 显著降低,其中T6、T7处理第7天有效态镉含量降低率分别为39.41% 和 31.01% ,第30 天分别为 34.91% 和 53.33% ,降幅显著高于其他处理。研究表明,沼液分子量 时对土壤镉的钝化效果较好且更具备稳定性,其作用机理主要是通过改变土壤理化性质、提高土壤有机质荧光组分、芳香性物质和大分子量有机质含量,促进弱酸提取态镉、可还原态镉向可氧化态、残渣态镉的转化,从而降低镉的生物有效性。
摘 要:为探究坡耕地红壤区间作对土壤呼吸速率及土壤微生物量碳、氮的影响,通过田间试验,以坡耕地红壤为研究对象,设置大豆单作(MS)、玉米单作(MM)、玉米大豆间作(IMS)和裸地(CK)4 个处理,研究不同种植模式对土壤呼吸速率的影响特征及相关土壤环境因子的影响机制。结果表明:在玉米生育期内,各种植模式下的土壤呼吸速率、温度和含水量均呈现先增加后降低的单峰型变化趋势,MS、MM、IMS 和CK 4种处理下的土壤呼吸速率变化范围分别为 和2.12~5.11μmol?m-2?s-1 ;且间作处理下的土壤呼吸速率整体较其他处理低,IMS 处理下的土壤碳排放总量较MS、MM 处理显著降低了 7.55%.14.65% 。土壤呼吸速率与土壤温度和含水量均呈显著正相关,分别解释了 87.4%~97.0% 和 78.7%~89.5% 的土壤呼吸速率变化,且相较于单一因素模型,双因素模型(土壤温度与土壤含水量)能够更好地解释土壤呼吸速率的变化。间作通过显著提高土壤微生物量碳和土壤微生物量氮的含量,而进一步影响土壤呼吸速率,在玉米生育期内不同种植模式下土壤微生物量碳、氮含量与土壤呼吸存在显著的线性正相关。研究表明,合理的间作模式能降低土壤呼吸速率,减少土壤碳排放。